Skip to content
Home
About
Bible Lessons
Sermon Outlines
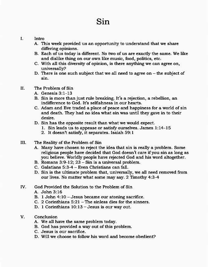
Sin
Jan 26, 2017
—
by
Dajasween
in
Uncategorized
https://biblelessonsandsermons.com/wp-content/uploads/2017/01/20170122-113234.m4a
Share this:
Share on X (Opens in new window)
X
Share on Facebook (Opens in new window)
Facebook
Like
Loading…
Comments
Leave a comment
Cancel reply
Δ
←
Previous:
Creation
Next:
Wrath
→
Loading Comments...
Write a Comment...
Email (Required)
Name (Required)
Website
Comment
Reblog
Subscribe
Subscribed
biblelessonsandsermons.com
Sign me up
Already have a WordPress.com account?
Log in now.
biblelessonsandsermons.com
Subscribe
Subscribed
Sign up
Log in
Copy shortlink
Report this content
View post in Reader
Manage subscriptions
Collapse this bar
%d
Leave a comment